Comprar Amadeus o esperar

Amadeus es uno de los valores de la bolsa española con mejores ratios financieros y una cotización razonable. Desde 2014 hasta 2023, el beneficio por acción ha pasado de 1,41 € a 2,48 €, lo que supone un aumento del 6,5% anual. En el mismo período, el dividendo ha crecido de 0,70 € a 1,24 € por título.

Al precio actual (4 de abril de 2024) de 57,54 €, cotiza con un ratio PER de 23,2. En la tabla siguiente, puede observarse que la acción ha cerrado cada año desde 2014 con un PER por encima de 23 (salvo en 2020 y 2021 en que la compañía tuvo pérdidas como consecuencia de los confinamientos).

Beneficio por acción, precio y PER de Amadeus de 2014 a 2023

Para 2024, el consenso del mercado espera un beneficio por acción de 2,82 €, un 13,7% superior al de 2023. Si se cumple esa expectativa y la acción cierra el año al PER mínimo de los últimos diez ejercicios, el precio en diciembre de 2024 sería de 65 €, muy similar al de diciembre de 2023 (64,56 €). De ese modo, en el conjunto del año la acción apenas habría experimentado variación alguna. Desde el precio actual (57,5 €) la plusvalía sería del 13%. A esto habría que añadirle el dividendo de 0,80 € (complementario de 2023) que se abonará en julio y que supone un rendimiento bruto del 1,39% (1,12% neto).

Sin embargo, las acciones de Amadeus están siguiendo un típico ciclo bajista. El 16 de junio de 2023 cotizaron a un máximo relativo de 69,92 €. El 26 de octubre de 2023 alcanzaron un mínimo relativo de 52,8 €. En una recuperación espectacular, clásica de los episodios bajistas, llegaron a los 66,1 el 26 de enero de 2024, una ganancia del 25,1%. Un mes más tarde, el 29 de febrero, habían caido a 54,38 €, un 17,7%. Como es habitual en una dinámica de este tipo, recientemente ha habido una segunda recuperación que ha llevado el precio hasta los 59,44 € el 28 de marzo, una plusvalía del 9,3%.

Si el título sigue los patrones habituales de una tendencia bajista, el ciclo podría concluir entre junio y julio de este año, por lo que aún podrían quedar cuatro meses de volatilidad. Lo más probable en este contexto sería volver a ver un precio entre 53 € y 55 €. Por tanto, si se quiere aumentar el margen de ganancia, es una buena apuesta esperar un tiempo.

Cómo no caer en la trampa de este mercado bajista

Inmersos en un ciclo descendente

Las bolsas europeas y la estadounidense están inmersas en un ciclo bajista. En el caso de la bolsa española, el aviso de cambio de tendencia tuvo lugar en marzo, de modo similar a lo que ocurrió en el anterior ciclo bajista, el de 2018. El máximo relativo de referencia tuvo lugar el 14 de junio de 2021, cuando el IBEX 35 cotizó a 9.281,1 puntos, por lo que ya llevamos un año de tendencia descendente.

Oportunidades para salir

Después de un aviso bajista, hay varias oportunidades para salir. En esta ocasión, la primera tuvo lugar en abril (siendo el mejor día el 21) y la segunda en mayo (siendo el mejor día el 30). En la primera, la bolsa subió un 14,2% desde el aviso y en la segunda, un 15,7%. (En mi estudio sobre mercados bajistas utilizo el Indice General de la Bolsa de Madrid, o IGBM, en vez del IBEX 35).

Se da la circunstancia de que en este ciclo, el índice se ha revalorizado más que en cualquiera de los diez anteriores desde el aviso. La media en los diez ciclos anteriores fue del 7,2%, con un mínimo de -3% y un máximo del 13,6%. Es posible que ya hayamos visto la mejor oportunidad de venta. En los diez ciclos anteriores, transcurrió una media de 2,5 meses entre la mejor oportunidad y el aviso. En el presente ciclo este período ha sido de 2,9 meses.

Cuándo llegará la última oportunidad

En los diez ciclos bajistas que ha tenido la bolsa española entre 1990 y 2018, la última oportunidad llegó una media de 6,7 meses después del aviso, con un mínimo de 5,5 meses y un máximo de 8,6 meses. Dado que el aviso tuvo lugar el 4 de marzo, es probable que llegue en torno al mes de septiembre.

Sin embargo, es poco probable que el IBEX 35 supere los 8.933 puntos que se vieron en mayo.

En octubre-diciembre puede venir lo peor

Lo peor del ciclo bajista suele llegar entre 7 y 10 meses después del aviso. Este es el momento en que muchos inversores, decepcionados o hastiados por el comportamiento de la bolsa en los meses precedentes, deciden venderlo todo. No hay que caer en esta trampa. Si no se ha podido vender en una de las oportunidades, hay que aguantar a que pase la tormenta. Si se tiene liquidez es un buen momento para comprar.

El fin del ciclo

En los diez ciclos precendentes, el fin del ciclo llegó una media de 10,4 meses después del aviso y la pérdida media respecto del máximo fue del 24,6%. Si se cumple esta pauta, el final del ciclo presente podría llegar en diciembre o enero de 2023 y el IBEX podría llegar a caer por debajo de los 7.000 puntos. Este valor es lo más difícil de predecir, pues históricamente ha habido mucha variabilidad respecto a la minusvalía acumulada desde el máximo hasta el mínimo.

La Monografía Mercados bajistas explora las pautas comunes de los nueve ciclos bajistas de la bolsa española de 1990 a 2016

Mínimos anuales de los valores del IBEX 35 (hasta el 7-12-2018)

El IBEX 35 hizo un nuevo mínimo en 8.764,5 puntos el 6 de diciembre. Sin embargo, doce valores dejaron atrás sus niveles más bajos del año en el primer trimestre y algunos de ellos acumulan plusvalías significativas desde entonces. Se trata principalmente de las eléctricas, Cellnex y Acciona. A excepción de Cellnex, estas compañías presentaban un elevado rendimiento por dividendo al principio del año. La mayoría de ellas tiene su negocio centrado en el mercado doméstico, lo que las ha protegido de los múltiples focos de incertidumbre en la economía internacional.

La tabla siguiente ordena los valores del IBEX 35 según el número de días transcurridos desde la fecha de su mínimo anual.

En el otro extremo tenemos a las entidades financieras y a los valores más afectados por la guerra comercial entre Estados Unidos y China (Acerinox, ArcelorMittal, CIE Automotive).

El IBEX 35 acumula una minusvalía del 12,23% en 2018 hasta el 7 de diciembre. Con dividendos, la pérdida se reduce al 9,15%. Desde el máximo anual del 5 de mayo (10.271,4 puntos), la minusvalía es del 14,7%, sin que se haya producido ninguna recuperación reseñable en este período.

Cuándo acabará este ciclo bajista

El IBEX 35 alcanzó un máximo relativo el 5 de mayo de 2017, en 11.135,4 puntos, tras haber subido un 45,6% en menos de un año, concretamente desde el 27 de junio de 2016, justo después de conocerse el resultado del referéndum a favor de la salida del Reino Unido de la Unión Europea.

En septiembre de 2017, los valores principales del índice entraron en fase bajista: los grandes bancos, Inditex, Telefónica. El propio IBEX no lo hizo todavía gracias al buen comportamiento relativo de otros valores, sino que entró en esa dinámica a partir del 23 de marzo de 2018. Considero que un índice entra en tendencia bajista cuando pierde un 15% desde su máximo en un plazo de al menos cuatro meses y marca un nuevo mínimo en ese período. Este ciclo es atípico en tanto que el aviso de cambio de tendencia suele llegar entre cuatro y seis meses después de un máximo, mientras que en esta ocasión han mediado diez meses.

En teoría, el ciclo debería finalizar en diciembre de 2018, teniendo en cuenta la duración que han tenido otros ciclos de estas características en la bolsa española desde 1990.

Lo que inquieta es que varios valores presentan dos ciclos bajistas superpuestos. Santander entró en una nueva dinámica descendente en mayo de 2018, Telefónica y Aena en agosto de 2018, Inditex en septiembre de 2018, etc. Esto significa que estos valores pueden experimentar una fuerte recuperación dentro de unos meses pero que existen elevadas probabilidades de una nueva recaída a mediados de 2019.

Un típico mercado bajista dura unos 14-16 meses desde el máximo hasta el mínimo, salvo que el propio índice presente ciclos superpuestos, en cuyo caso la duración suele ser de unos tres años. No es el caso del IBEX 35 de momento.

Por otro lado, un típico ciclo bajista se salda con pérdidas de en torno al 30%. Esto implicaría un IBEX a unos 7.800 puntos, un nivel similar al de junio de 2016. Parece improbable, dados los bajos precios que han alcanzado la mayoría de acciones y la valoración razonable del conjunto del mercado, pero en una secuencia de pánico todo es posible. Estos niveles serían obviamente una clara oportunidad de compra.

 

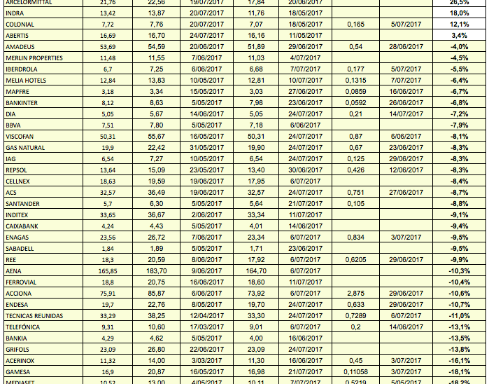
La mayoría de valores del IBEX ya ha corregido más del 8%

La corrección que se inició el 5 de mayo, con el IBEX 35 a 11.135,4 puntos, se ha saldado con una pérdida del 6,4% hasta el 21 de julio (suponiendo que ya ha concluido), sin tener en cuenta dividendos y del 5,4% incluyendo dividendos. A primera vista se diría que ha sido una corrección moderada. Sin embargo, un vistazo a la tabla siguiente nos muestra que ha sido de mayor calibre de lo que recoge el índice.

Una docena de valores se ha dejado al menos un 10%, incluso teniendo en cuenta dividendos. Los más perjudicados han sido Mediaset, Gamesa y Acerinox, todos ellos con pérdidas superiores al 15% desde sus máximos de mayo (marzo en el caso de Acerinox).

Los valores que han marcado sus mínimos más recientemente en este ciclo bajista (entre el viernes 21 y el lunes 24 de julio) son: Gamesa, Banco Santander, DIA, Viscofán, Gas Natural, IAG, ACS, Endesa, Técnicas Reunidas y Grífols.

En cambio, cuatro valores han ido a contracorriente: ArcelorMittal, que ha ganado un 26,5% desde su mínimo de junio, Indra, Colonial y Abertis, empresa que se va visto beneficiada por una posible contraopa de ACS.

La corrección se ha extendido a lo largo de once semanas, lo que la convierte en una de las más largas de los últimos diez años. Fue precedida por una subida del 29,4% que también tuvo una duración excepcional, 22 semanas.

El PER actual del IBEX 35 es de 16,2, lo que da una valoración correcta. En tanto que se espera un incremento generalizado de los resultados del primer semestre, la mayoría de los cuales se conocerán estos días, es previsible que dicho ratio sea menor.

Qué va a ocurrir en la bolsa

bolacristalLa regularidad en el desarrollo de los ciclos bursátiles no deja de sorprenderme. Desde que salió publicado mi libro Un náufrago en la bolsa en 2005, los ciclos bajistas que ha habido en el mercado español han seguido las mismas pautas allí indicadas, en particular el de 2007-2009, que describo detalladamente en Caos en la Bolsa.

Lo normal sería que en algún momento esa regularidad se interrumpiera, que haya un ciclo que se salga de la norma. Ya se sabe que cuantas más veces se cumple algo, más confianza depositas en ello y mayor es la caída cuando llega la inevitable excepción.

Si una persona pudiera saber el futuro, eso sería más una condena que una bendición para ella. No es un conocimiento necesario para tomar buenas decisiones. Si uno pretende aprovecharse de ese conocimiento, puede llevar a cometer grandes errores por dos motivos. En primer lugar, por exceso de confianza (recordemos el Macbeth de Shakespeare). En segundo lugar, porque no todo el futuro es previsible, de modo que siempre habrá al menos un detalle que se nos escapará. A menudo cito el caso del economista e inversor Peter Schiff, que vislumbró la crisis financiera de 2008 con un realismo asombroso pero cuyos fondos de inversión se derrumbaron ese año.

Sin embargo, saber lo que va a pasar, o lo que es probable que va a pasar, puede ser muy útil si no pretendemos sacar provecho de esa información sino utilizarla para evitar errores. Luego me explico.

De acuerdo con las pautas descritas en los libros que he mencionado, el IBEX dio un aviso de ciclo bajista el 24 de agosto, día en que cerró a 9.757 puntos. A partir de un momento como ese, la bolsa da una serie de oportunidades para salir, la última de las cuales suele llegar unos seis meses después de dicho aviso. O sea, a mediados de febrero podría haber esa oportunidad, en la que el IBEX puede incluso acercarse al nivel que había agosto. El fin del ciclo tendría lugar en mayo, nueve meses después del aviso.

La pregunta es: supongamos que va a ocurrir de este modo, ¿habrá servido de algo haberlo sabido?

Si, efectivamente, en mayo la bolsa marca su mínimo del ciclo y un inversor compra entonces, ¿habrá acertado? No lo sabemos. Puede que haga una mala selección de valores. Puede que invierta una parte y compre el resto antes de la siguiente corrección. Puede que lo venda todo en pocos meses y se pierda la mayor parte del ciclo alcista. En este caso, conocer el futuro no resulta muy útil.

En cambio, saber que los ciclos tienen unas pautas recurrentes puede ayudarnos a evitar los típicos errores que comete gran parte de los inversores en tiempos como estos. La recuperación que tiene lugar después de un pánico (la oportunidad de la que hablaba antes) es a menudo un pánico en sentido inverso, un pánico comprador. Lo protagonizan inversores que habían salido en desbandada, creen que el mercado ha tocado fondo y vuelven a entrar para recuperar sus pérdidas. Pero quedan de nuevo atrapados y salen vapuleados en la fase siguiente, la más demoledora del ciclo. Una paradoja clásica de los pánicos compradores es que son desatados por los inversores más bajistas, aquellos que han apostado por una continuación de la tendencia y que cuando el mercado empieza a recuperarse deben correr a recomprar las acciones que habían vendido al descubierto para limitar sus pérdidas.

Saber esto es saber algo que ocurre en todos los ciclos bajistas. Saber lo que ocurre una y otra vez es en cierto modo saber el futuro. Pero en este caso no se trata de aprovechar el pánico comprador para venderlo todo sino de evitar el error de entrar en esa dinámica.

craterClaro que es posible aprovechar esa oportunidad para salir pero hay dos problemas. En primer lugar, puede ocurrir algo imprevisible que detenga el ciclo bajista antes de lo previsto. En segundo lugar, se trata de conocer nuestro propio futuro: ¿qué haremos después de haberlo vendido todo?

Y este es el futuro más imprevisible. La caída final, aunque es eso, una caída final que deja los precios a niveles irrisorios, quita a cualquiera las ganas de invertir. Los precios de risa dan mucho más miedo que risa. Uno nunca sabe cómo va a reaccionar en ese escenario. Nuestras popias decisiones futuras suelen ser totalmente imprevisibles.

Una vez la bolsa ha alcanzado sus mínimos, lo que señala el inicio de un nuevo ciclo alcista que puede ser muy rentable, ocurre otra cosa previsible. Unos meses después de dicho mínimo, los índices suelen alcanzar revalorizaciones importantes que son aprovechadas por aquellos que suspiran aliviados por haber recuperado al menos parte de sus pérdidas y se prometen no volver a invertir nunca más en acciones.

Tras el cráter dejado por el ciclo bajista, tiene lugar un período de extinción masiva de inversores. Unos porque venden en el peor momento y otros porque lo hacen recuperando algo, pero todos ellos dan su adiós definitivo a la bolsa y se pierden el ciclo alcista siguiente. Es algo que está escrito.

Pero en esos compases iniciales del nuevo ciclo alcista también salen muchos inversores que tuvieron el acierto de comprar cerca de mínimos, confiados en repetir la jugada, pero que echan a perder su buena estrella y luego van dando tumbos por el mercado.

Por todos estos motivos, más que preocuparnos por saber qué va a ocurrir en el futuro, es mejor que nos preocupemos por tener unas pautas regulares para invertir para que podamos predecir nuestras propias decisiones futuras.

 

¿Hay que preocuparse por la catástrofe anunciada por Soros?

George_Soros_47th_Munich_Security_Conference_2011_cropEl inversor estadounidense de origen húngaro George Soros es el gurú financiero por excelencia, y ante cada uno de sus catastrofistas vaticinios no son pocos los inversores que se echan a temblar.

Sin embargo, el anuncio de grandes catástrofes no siempre debe ser tomado en sentido literal, sino más bien como una seria advertencia por parte de personas que saben que tienen capacidad para influir en la toma de decisiones de políticos y banqueros centrales. A menudo, los vaticinios de calamidades sirven precisamente para evitar que estas se produzcan o sean menos graves, por lo que, al menos en parte, deberíamos sentirnos aliviados al escucharlos.

En enero de 2012, Soros dijo que la crisis del euro era «más grave y mucho más peligrosa que la crisis de 2008». Afortunadamente, la situación pudo ser reconducida, en buena parte gracias a la habilidad del presidente del Banco Central Europeo, Mario Draghi.

Ahora Soros dice que la crisis actual se parece a la de 2008“ y alerta a los inversores de los efectos que puede tener la continua depreciación del yuan chino sobre las divisas de otros países emergentes, que podrían entrar en una perniciosa guerra de devaluaciones competitivas, algo que, dicho sea de paso, también nos trae a la memoria las turbulencias de 1997 y 1998. En 1997 hubo una serie de advertencias que luego se olvidaron y en 1998 la cosa fue a peor. En septiembre-octubre de 1998 las bolsas se hundieron pero luego se recuperaron de forma espectacular. Lo que les ocurre a muchos inversores en estas situaciones es que venden en el momento de la catástrofe y luego se quedan fuera. Salvo los inversores de reflejos rápidos, la mayoría gana más si aguanta el chaparrón.

Lo cierto es que la crisis de 2008 ya se ha convertido en el fantasma con el que asustar al más pintado. El 24 de diciembre de 2012, un portal de noticias publicaba: Ex analista de la CIA vaticina otra crisis mundial peor que la de 2008. Sin embargo, 2013 fue el único año relativamente plácido que hemos tenido en los mercados desde 2006 hasta hoy.

Así que nunca sabemos qué nos va a traer el vaticinio de una calamidad. Incluso saber lo que va a ocurrir puede ser contraproducente. El economista e inversor Peter Schiff predijo con años de anticipación la crisis financiera de 2007-2008. A pesar de ello, su fondo de inversión sufrió enormes pérdidas en 2008.

En un artículo de agosto de 2015 titulado ¿Y si fuera el aviso de un ciclo bajista? ya señalé que la tendencia bajista podría durar unos 9 meses contando desde agosto, lo que nos llevaría hasta mayo de 2016, de modo que lo que está ocurriendo ahora forma parte de la propia dinámica de un ciclo bajista. Pero lo importante es tener en cuenta que un ciclo bajista suele acabar cuando acaba la paciencia de los inversores, así que eso es lo último que hay que perder. Por mi parte, he decidido no hacer caso de mi propia predicción ni la de nadie y seguir con mi filosofía de acumular ventajas respecto al mercado la mayoría de los trimestres.

 

 

 

 

 

La bolsa ya lleva 16 años en una isla desierta (artículo en Sintetia)

isladesiertaEn mi libro Un náufrago en la Bolsa, publicado en 2005, aventuré la posibilidad de que la bolsa española pasara 16 años en una “isla desierta“ a partir de marzo de 2000, basándome en el estudio de los ciclos bursátiles a largo plazo. Definí como isla desierta un período de tiempo durante el cual el índice de la bolsa podía subir en varias ocasiones pero que al final de dicho período no se habría revalorizado apenas (sin tener en cuenta los dividendos).

Leer el artículo completo en Sintetia

 

 

 

 

¿Y si fuera el aviso de un ciclo bajista?

Sé que no voy a despertar simpatías con este artículo, pues a nadie le gusta oír que la bolsa pueda haber entrado en un ciclo bajista. La verdad es que hoy también me resulto antipático a mi mismo.

En una entrada del 9 de junio escribí lo siguiente: “Lo preocupante sería que el IBEX siguiera en fase correctiva más allá de mediados de agosto y que se alcanzaran niveles cercanos a los 10.000 puntos porque en tal caso la bolsa podría entrar en una nueva dinámica bajista.

Bueno, eso preocupante ha ocurrido hoy, tras cerrar el IBEX a 9.757 puntos. En mi libro Un náufrago en la Bolsa (2005) propuse la teoría de que la bolsa avisa de un ciclo bajista cuando cae al menos un 15% desde máximos en un plazo superior a cuatro meses y marca un mínimo en ese período. Desde su publicación, los tres ciclos bajistas que ha habido fueron precedidos por al menos un aviso de este tipo. La segunda parte de dicha obra, que he titulado Caos en la Bolsa (disponible solo en ebook) trata del ciclo bajista de 2008-2009.

La tabla siguiente recoge los ocho ciclos descendentes de la bolsa española desde 1990. Puede verse que después del aviso cada ciclo ha durado alrededor de 9 meses. Por eso suelo decir que este tiempo es lo que tarda la bolsa en gestar un nuevo ciclo alcista. Quizás hoy la bolsa se ha quedado “embarazada“.
Ciclos bajistas

Así que es probable que a partir de hoy tengamos unos meses largos de espera antes de asistir al nacimiento del nuevo ciclo alcista. En tal caso, esto no significa que el mercado vaya a bajar continuamente sino que lo va a hacer el 70% del tiempo y que va a subir el 30% del tiempo restante, justo al revés de lo que ocurre en un ciclo ascendente.

Unos días o semanas después del aviso suele haber una fuerte recuperación. De hecho, a lo largo de seis meses hay varias oportunidades para vender si uno quiere salir de esa dinámica. Luego acostumbra a venir lo peor.

Sin embargo, creo que este ciclo no será uno de los “grandes“. En los últimos años, los grandes han sido el de 1990-1992, el de 2000-2003, que en ambos casos fueron dos ciclos superpuestos, el de 2008-2009 y el de 2011-2012. Espero que sea de tipo intermedio, como el de 1994-1995 o el de 2010.

Y claro, también existe la posibilidad de que esta vez sea diferente y todo acabe en un susto. Ojalá, porque voy a mantener mi cartera de acciones a lo largo de los próximos meses.

Los seguidores de este blog se estarán preguntando: bueno, ¿y qué tal lo han hecho las carteras de Invertir Low Cost en las fases bajistas anteriores? El cuadro siguiente recoge el comportamiento de algunas de las carteras en las tres últimas fases descendentes (he tomado los cuatro trimestres completos que ocuparon la mayor parte del período bajista). La rentabilidad de las carteras y de los índices incluye dividendos.

Estrategias en ciclos bajistas

Si este ciclo fuera como uno de los grandes, no se librarán de las pérdidas. Si es, como espero, uno intermedio, confío en que puedan dar beneficios moderados.

 

 

Las acciones más rentables tienen menos riesgo

La relación rentabilidad-riesgo dice que si quieres obtener más rentabilidad, has de asumir un riesgo más alto. Esta relación puede cumplirse cuando comparamos activos de diferente clase. Por ejemplo, las acciones son más rentables que los bonos o los depósitos bancarios pero también son más arriesgadas. Sin embargo, cuando comparamos acciones entre sí, vemos que las más rentables a largo plazo tienen una volatilidad inferior a la del mercado. Aunque lo inverso no tiene por qué ser necesariamente cierto. Por ejemplo, una compañía de ingresos muy estables pero crecimiento lento puede ser una buena inversión pero tal vez sus acciones no se encontrarán entre las que más suban.

Vemos que a corto plazo, los valores especulativos pueden llegar a subir mucho más que valores más sólidos. Sin embargo, cuando hay caídas en los mercados también caen mucho más. Es posible que a un trader los valores especulativos le puedan reportar las mayores ganancias, no así a un inversor a largo plazo.

En un ciclo bajista, la bolsa no siempre baja. Típicamente cae alrededor de las dos terceras partes del tiempo pero sube la otra tercera parte. De modo similar, la bolsa no siempre sube en un ciclo alcista. Lo habitual es que lo haga las dos terceras partes del tiempo y caiga la otra tercera parte.

3valores_mas_rentablesEntre enero de 2005 y diciembre de 2013, las acciones con mejor resultado del índice IBEX-35 de la bolsa española fueron Viscofán, Inditex y Red Eléctrica. Todas ellas superaron la rentabilidad de dicho índice en más de un 10% anual. Hay que tener en cuenta que Viscofán se incorporó al IBEX en enero de 2013, mientras que Inditex y Red Eléctrica han formado parte de este desde el principio del período.

Para analizar la evolución cíclica de estos valores, así como la del IBEX-35, he acotado las fases en las que dichos valores y el índice cayeron al menos un 15% y las fases en las que subieron al menos un 20%, en el período que va de enero de 2005 a marzo de 2014. De acuerdo con esta definición, el IBEX-35 fue bajista el 33,4% del tiempo. En cambio, los tres valores mencionados solo fueron bajistas alrededor del 25% del tiempo.

Si consideramos la caída media en los ciclos bajistas, la magnitud fue de prácticamente el 30% para el IBEX, del 24% para Inditex y Red Eléctrica y del 20% para Viscofán. Es decir, los tres valores fueron bajistas menos tiempo y experimentaron caídas de menor magnitud que el índice.

De enero de 2005 a octubre de 2007 la bolsa española fue muy alcista. Si observamos lo ocurrido entre noviembre de 2007 y julio de 2012, un gran ciclo bajista en el cual el IBEX-35 cayó de 15.945 puntos a 5.956 puntos, a pesar de la intensa alza intermedia de 2009, vemos que los tres valores fueron mucho más estables que el IBEX-35. Mientras que el índice fue bajista casi las dos terceras partes del tiempo, Viscofán e Inditex solo lo fueron la cuarta parte del período y Red Eléctrica, la tercera parte.

3valores_gran_ciclo2Viscofán e Inditex han vuelto a ir a contracorriente en los últimos meses, pero esta vez han sido bajistas en un mercado moderadamente alcista. Entre finales de octubre 2013 y mediados de marzo de 2014, ambos han caído un 16%. Red Eléctrica, en cambio, ha seguido al alza.

En definitiva, para acertar con los valores que serán más rentables a largo plazo es mejor no apuntar a los que presenten un riesgo más alto.

Larga vida al nuevo ciclo alcista

Del estudio de los ciclos de la bolsa española desde abril de 1947 hasta la actualidad podemos extraer la siguiente regla general: cuando el índice cae un 15% desde su anterior máximo, la caída prosigue hasta superar el 30%.

Si definimos un ciclo bajista como aquel en el que el Índice General de la Bolsa de Madrid baja al menos un 15% desde su anterior máximo, y un ciclo alcista como aquel en que dicho índice sube al menos un 20% desde su mínimo más reciente, hallamos 18 ciclos bajistas y otros tantos ciclos alcistas desde abril de 1947.

Lo primero que se observa, como avanzaba al principio, es que rara vez la caída se detiene en un 15 o 20%. Sólo en dos ocasiones ocurrió esto. La pimera tuvo lugar entre marzo de 1970 y enero de 1971, cuando la bolsa limitó su caída a un 21%. La segunda, en octubre de 2007, mes en que el índice general perdió un 17% entre los valores de cierre de los días 1 y 28 de aquel mes. Sin embargo, hay que tener en cuenta que en la apertura del día 28 de octubre, el IBEX cayó cerca de un 15% y acumulaba una pérdida del 26% desde el máximo alcanzado al principio del mes. De hecho, el valor del 28 de octubre está distorsionado por una circunstancia excepcional: la Bolsa retrasó el horario de cierre de las operaciones ante la avalancha de órdenes de compra que se produjo en los últimos compases de la sesión, provocada por la sólida recuperación de Wall Street.

Los 18 ciclos bajistas que ha habido en las últimas seis décadas se han saldado con una caída media del índice del 37%. En diez de ellos, la caída fue del orden del 30-38%, en cinco, de alrededor del 50%, y en sólo tres fue de entre el 17% y el 26%.

De acuerdo con la definición anterior, el 33,2% del tiempo, la bolsa española estuvo en un ciclo bajista y el 66,8%, en un ciclo alcista.

Algunos de estos ciclos no son en realidad ciclos bajistas sino desplomes en medio de un ciclo alcista, en particular los de 1987, 1997 y 1998, que duraron entre 1 y 3 meses. Si definimos los ciclos bajistas como aquellas caídas superiores al 25% y que tuvieron lugar a lo largo de varios meses e integramos ese tipo de desplomes dentro de los ciclos alcistas, encontramos nueve ciclos bajistas y nueve alcistas desde abril de 1947. Con esta nueva definición, el tiempo en el que la bolsa española fue bajista fue el 33,8% del total y el tiempo en que fue alcista fue el 66,2% del total.

Sin embargo, en muchas ocasiones el ciclo alcista subsiguiente no permitió recuperar todas las pérdidas ocasionadas por el ciclo bajista anterior. Propongo, por tanto, definir los ciclos alcistas como aquellos que permiten compensar o superar la pérdida previa. Desde este punto de vista, obtenemos  seis grandes ciclos bajistas y cinco grandes ciclos alcistas en el período que va de abril de 1947 a julio de 2012.

Cuatro de estos seis grandes ciclos bajistas duraron entre 2 y 3 años. Uno de ellos duró nada menos que casi nueve años: el que empezó en abril de 1974 y concluyó en diciembre de 1982. El más reciente de ellos, el que se inició en noviembre de 2007 y que llegó a su fin en julio de 2012, duró casi cinco años.

Todos estos grandes ciclos alcistas se saldaron con una minusvalía de entre el 45% y el 70%, siendo el de 2007-2012 uno de los peores, con una caída del índice del 65%. Aunque si tenemos en cuenta los dividendos, las pérdidas efectivas fueron menores.

En cuanto a los cinco grandes ciclos alcistas, tres de ellos duraron alrededor de 7 años. Uno de ellos fue excepcionalmente extenso, casi 15 años, de septiembre de 1959 hasta abril de 1974, pero al mismo le siguió un ciclo bajista que también fue excepcionalmente largo, que es el que he comentado hace un momento. El ciclo alcista que empezó en marzo de 2003 y acabó en septiembre de 2007, fue el más breve de los grandes ciclos alcistas, con una duración de menos de cinco años.

El 35,1% del tiempo, la bolsa española estuvo inmersa dentro de un gran ciclo bajista y el 64,9% dentro de un gran ciclo alcista, porcentajes bastante similares a los obtenidos en los ciclos cortos y medios.

Y ahora, ¿en qué situación estamos?  En julio de 2012 concluyó una tendencia bajista que fue igual de larga que la alcista precedente (2003-2007): ambas duraron 57 meses. Esto representa una anomalía, ya que los ciclos bajistas acostumbran a ser más breves que los alcistas. Entre marzo de 2009 y enero de 2010, la bolsa española subió un 77% pero esta alza no permitió recuperar las pérdidas acumuladas y dio paso a una caída aún más profunda que la anterior. Sin embargo, desde julio de 2012 parece haberse iniciado el que puede ser el sexto gran ciclo alcista de la bolsa española desde 1947. Confío en que sea así y que la ley de la compensación nos proporcione un ciclo especialmente largo, aunque tendremos que recordar que todos los ciclos alcistas tienen sus desplomes. Todos…menos el de 2003-2007, que no tuvo ninguno mientras duró. ¿Será que los ciclos alcistas sin desplomes están condenados a ser breves?

¿Es rentable invertir a largo plazo?

La primera cara del asunto

En este artículo exploro si vale la pena invertir en bolsa a largo plazo. Para ello, examino la rentabilidad del índice Dow Jones de la bolsa americana y del índice general de la Bolsa de Madrid en los últimos 50 años (de 1963 a 2012). Aquí no contemplo la posibilidad de estrategia alguna para batir al mercado sino que el inversor obtiene la misma rentabilidad que la del índice. La rentabilidad incluye tanto las plusvalías como los dividendos pero se expresa en términos brutos ya que cada inversor tiene una fiscalidad diferente.

Pero no debemos dejarnos engañar por la rentabilidad nominal, que es la rentabilidad sin tener en cuenta la inflación. Por eso se la llama así, porque de rentabilidad sólo tiene el nombre. Es preferible vivir en un país donde la bolsa da una rentabilidad del 9% anual pero la inflación es del 1% anual que en otro donde ofrece un 18% anual pero la inflación es del 14% anual. En el primer caso ganaríamos la mitad que en el segundo en términos nominales (9% versus 18%) pero el doble en términos reales (8% versus 4%).

En el período indicado, la bolsa española ofreció una rentabilidad media del 11,28% anual pero la inflación promedió un 7,27% anual, de modo que la rentabilidad media real para un residente en España fue de sólo el 4,01% anual.

Veamos si la bolsa de Estados Unidos fue más rentable. En ese período, la rentabilidad del índice Dow Jones fue del 9,83% anual, inferior en casi 1,5 puntos anuales a la española. Sin embargo, la inflación media fue cerca de la mitad de la española, del 4,09% anual. Esto implica que la rentabilidad real para un residente en los Estados Unidos fue del 5,74%, significativamente superior a la de la bolsa española. A continuación resumo estos resultados.

1963-2012

Rentabilidad nominal

Rentabilidad real

Bolsa española

11,28%

4,01%

Bolsa estadounidense

9,83%

5,74%

En conjunto, no parecen cifras demasiado interesantes cuando tenemos en cuenta la rentabilidad real, que es la que verdaderamente importa, ya que la inflación erosiona el valor del dinero y de nuestras ganancias.

La otra cara del asunto

Las medias siempre ocultan realidades dispares. Sabemos que la bolsa evoluciona de manera cíclica a corto plazo pero también muestra el mismo comportamiento a muy largo plazo. En la bolsa de Estados Unidos, en el período 1963-2012 hubo dos grandes ciclos: un largo ciclo bajista de 16 años de duración que se extendió de febrero de 1966 a agosto de 1982 y un largo ciclo alcista de 17 años y medio de agosto de 1982 a enero de 2000. No es que en el primer ciclo la bolsa cayera de forma constante, de hecho hubo algunos períodos muy rentables, sino que la tendencia general fue hacia el estancamiento o el declive. El largo ciclo alcista de 1982-1999 tampoco estuvo exento de desplomes (los más destacados, los de 1987, 1990 y 1998) ni de algunas fases bajistas de duración relativamente breve. Pero la tendencia general fue al alza.

Si examinamos la rentabilidad de la bolsa de Nueva York en ambos ciclos, veremos una diferencia muy notable. En primer lugar, en vez de considerar el período 1963-2012, tomaremos el de 1966-1999 (34 años) porque incluye un largo ciclo bajista y otro alcista de duraciones similares. En dicho período, la rentabilidad media del índice Dow Jones fue del 11,79% anual en términos nominales y del 6,69% anual en términos reales. Pero observemos la diferencia de rentabilidad en ambos ciclos:

Rentabilidad nominal

Rentabilidad real

Ciclos

1966-1981 (bajista)

3,94%

-3,06%

1982-1999 (alcista)

19,08%

15,81%

Período completo

1966-1999

11,79%

6,69%

Nota: En estos cálculos, para el ciclo bajista de febrero de 1965 a agosto de 1982 he utilizado el período de enero de 1966 a diciembre de 1981 mientras que para el ciclo alcista siguiente he tomado el período de diciembre de 1981 a diciembre de 1999, es decir he utilizado períodos con años completos para facilitar el cálculo de los rendimientos por dividendo y de las rentabilidades.

Como se puede observar, es muy diferente invertir en bolsa en el transcurso de un largo ciclo bajista que hacerlo en un largo ciclo alcista. En el primero, la rentabilidad real fue significativamente negativa mientras que en el segundo fue excepcional.

¿Tiene lugar el mismo fenómeno en la bolsa española? Sí, y de un modo más acusado.

En el caso de la bolsa española, me basaré en el período 1973-1999 en vez de en el período 1966-1999 porque en España el mercado de valores subió de manera significativa entre 1966 y 1973 (el valor del índice de Madrid se triplicó en estos años mientras que el Dow Jones bajó un 12%). Aunque la bolsa subió de forma significativa entre 2003 y 2007, la plusvalía media entre 2000 y 2007 fue sólo del 6% anual (del 2% anual en el caso del Dow Jones) debido a la intensa fase bajista que se desarrolló desde febrero de 2000 hasta marzo de 2003. Como después de 2007 tuvo lugar otra fase bajista de calado aún mayor, considero que el largo ciclo alcista que empezó en 1982 concluyó a principios de 2000.

Rentabilidad nominal

Rentabilidad real

Ciclos

1973-1982 (bajista)

-2,83%

-19,59%

1983-1999 (alcista)

25,17%

19,59%

Período completo

1973-1999

13,96%

4,38%

El ciclo bajista fue más breve en la bolsa española (10 años) pero mucho peor que en la bolsa de Estados Unidos. La rentabilidad media fue negativa pero, además, la inflación fue tan alta, del 16,7% anual, que la rentabilidad real fue negativa en casi un 20% anual. El lector se preguntará cómo es eso posible. Tal vez se dirá que si en 10 años la rentabilidad real fue negativa en un 20% anual, al cabo de 5 años un inversor lo habría perdido todo. La cuestión es que para calcular rentabilidades acumuladas no se multiplica por el número de años sino que se eleva al número de años el resultado de sumar la unidad a la rentabilidad anual. Por ejemplo, si la rentabilidad media es negativa en un 20% anual, se suma la unidad a -20% y se obtiene 80% (o 0,80). Esto se eleva a 10 y se obtiene 0,11 (que es lo mismo que 11%). Esto significa que al cabo de 10 años, a un inversor residente en España le hubiera quedado el 11% de su inversión inicial en términos reales, o sea que el poder adquisitivo del dinero que invirtió se hubiera reducido en un 89%.

En cambio, en el largo ciclo alcista de 1983-1999, la rentabilidad fue de nada menos que del 25,17% anual en términos nominales y del 19,59% anual en términos reales. Se trata justo de la cifra inversa que en el período precedente. No se trata de un error, es pura coincidencia.

La combinación de ambos ciclos nos da una rentabilidad real media del 4,38% anual en el período completo de 1973 a 1999. Como decía antes, las medias ocultan situaciones extremas.

Conclusión

Estos resultados nos muestran que la bolsa es rentable a largo plazo en los ciclos alcistas largos pero no lo es en absoluto en los ciclos bajistas largos. En estos últimos resulta conveniente permanecer alejado del mercado o bien seleccionar con mucho cuidado las carteras de valores. En un ciclo alcista largo, en cambio, conviene permanecer en el mismo sin hacer continuas operaciones de entrada y salida, y la selección de carteras es menos imperiosa. Sin embargo, como a un inversor le cuesta saber si está en un ciclo largo bajista o alcista (puesto que en el primero siempre hay fases alcistas intermedias y en el segundo, fases bajistas intermedias), es recomendable que, en el caso de que quiera estar en bolsa de forma permanente, siempre se preocupe de hacer una buena selección de valores.