El lunes 28 de octubre, Vidrala inició una ampliación de capital liberada que asigna a cada accionista una acción gratuita por cada 20 acciones. Por ejemplo, un inversor que el viernes 25 de octubre tuviera 200 acciones, tiene derecho a 10 acciones gratuitas. Las acciones nuevas pueden suscribirse hasta el 11 de noviembre incluido.
El capital social antes de la ampliación estaba formado por unas 26.034.000 acciones, mientras que ahora se emiten 1.301.702 acciones nuevas (se puede comprobar que esta última cifra es la primera dividida por 20).
Otra alternativa es vender los derechos de suscripción. Se tienen tantos derechos como acciones y en caso de que el número de acciones no sea múltiplo de 20, el broker abona la diferencia en efectivo.
El valor teórico del derecho depende del precio del día anterior a la ampliación y de la proporción de la misma. En este caso, es igual a 81 € (precio de cierre del 25 de octubre) dividido por 21, o sea 3,857 €. Este importe se deduce del precio de apertura en el primer día de la ampliación ya que el inversor se queda igual que como estaba. Es decir, si el día antes tenía 20 acciones con un valor de 81 €, el día siguiente tendrá 21 acciones a un precio de 77,14 €. En ambos casos, el capital es de 1.620 €. La diferencia entre ambos precios es dicho valor teórico del derecho de suscripción.
De hecho, el 28 de octubre, las acciones de Vidrala llegaron a cotizar a 76,50 €. Sin embargo, cerraron a 79,80 €, de modo que subieron un 3,44% (del precio ex-derecho de 77,14 € a 79,80 €) cuando lo normal hubiera sido cerrar a un precio más próximo a 77 € que recogiera el descuento del derecho.
Esta circunstancia se debe probablemente al efecto psicológico de ver las acciones a un precio que ha servido de soporte en los últimos meses, pues los títulos han cerrado por encima de los 76 € desde el mes de abril. Pero 76,5 € de ahora equivalen a 80,35 € de antes de la ampliación. Otros inversores no se habrán percatado de que al comprar a 79,8 €, en realidad estaban pagando 82,45 €, o sea 2,65 € de más en términos comparativos (es decir, el valor del derecho menos la diferencia entre el precio anterior a la ampliación y el precio de adquisición).
Si bien los resultados de Vidrala evolucionan favorablemente, hay que recordar que el precio actual no es comparable al de antes de la ampliación ya que los beneficios deberán repartirse entre un número mayor de títulos.
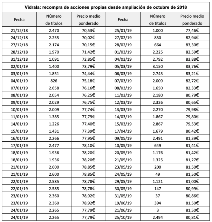
En octubre de 2018, la compañía hizo otra ampliación de capital liberada de la misma proporción (1×20) y emitió 1.239.700 acciones. Desde entonces ha recomprado 95.422 títulos propios (equivalente al 7,7% de las acciones emitidas en octubre-noviembre de 2018). La tabla siguiente recoge las operaciones de autocartera llevadas a cabo en este período.
Vidrala, uno de los valores más rentables de la bolsa española
Las cuentas de Vidrala en 2018










