Hay una página más actualizada sobre este tema:
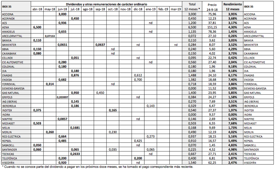
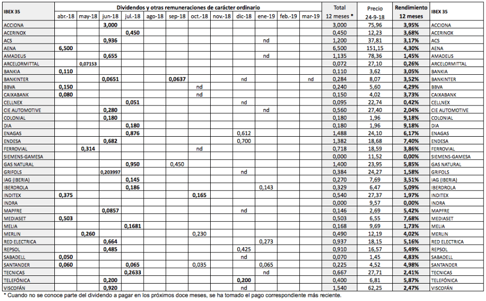
Dividendos del IBEX 35 previstos en 2019
Las cifras en negrita son dividendos confirmados o propuestos por el consejo de administración. En este último caso, pueden estar sujetos a ratificación por la Junta General de Accionistas, lo que acostumbra a ser un mero trámite. Las cifras en redonda (o sea ni en negrita ni en cursiva) son datos comprometidos o anunciados, sin que se haya especificado la estructura temporal de los pagos. Las cifras en cursiva son estimaciones en base a declaraciones o propuestas genéricas de la empresa.
El rendimiento de doce meses indicado se basa en los dividendos confirmados o propuestos para los próximos meses o en su defecto, en los pagados en los últimos meses, hasta cubrir un período de doce meses, con la excepción de Técnicas Reunidas, cuyo dividendo supera su beneficio por acción.
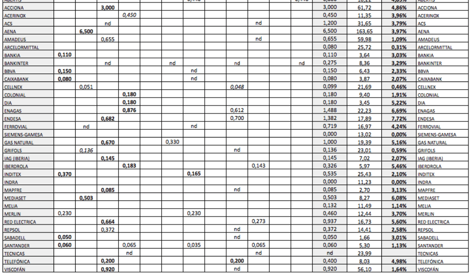
Ver Dividendos de abril 2017 a marzo 2018
Acerinox pagará 0,45 € a cargo de 2017, la misma remuneración que ha mantenido desde 2007.
ACS descuenta 0,936 € el 22 de junio en virtud del programa “dividendo opcional“. La fecha de pago es el 10 de julio. El año pasado pagó 0,751 €. Ver El próximo dividendo de ACS.
ArcelorMittal descontó un dividendo de 0,07153073 € el 16 de mayo. La fecha de abono es el 13 de junio. La nueva política de dividendos de ArcelorMittal.
Bankinter concluyó el pago a cuenta de 2017 en marzo de 2018 y empieza a abonar su dividendo a cargo de 2018 en junio de 2018.
Santander ha anunciado su intención de pagar 0,23 € a cargo de 2018 en tres pagos en efectivo de 0,065 € cada uno y 0,035 € en la modalidad de Dividendo Elección (con opción a suscribir acciones).
Cellnex ha variado su política de dividendos en relación con el pago complementario. En 2017 pagó el complementario de 2016 el día 9 de mayo, por un importe de 0,042325 €. La compañía se ha propuesto repartir un máximo de 63 millones de euros en una o varias veces a lo largo de 2018, 2019 y 2020 con cargo a la prima de emisión. Esta cantidad supone 0,27 € por título, dado el actual número de acciones en circulación, de los que se reparten 0,051 € en 2017.
Enagás prevé un dividendo de 1,53 € a cargo de 2018. Como suele pagar el 40% a cuenta, se ha estimado que en diciembre de 2018 abonará 0,612 €.
Ferrovial pagó un dividendo de 0,314 € a los accionistas que solicitaron la retribución en efectivo en el marco del programa de Dividendo Flexible. La fecha de descuento fue el 17 de mayo. El dividendo de Ferrovial de mayo de 2018.
Para ver la tabla ampliada, clicar sobre la imagen (o pulsar en tablets y móviles).
Gas Natural prevé pagar unos 1,30 € a cargo de 2018, un 30% más que a cargo de 2017. El primer pago a cuenta tuvo lugar el 30 de julio de 2018. En el mismo mes pagó 0,67 € del complementario de 2017. A finales del tercer trimestre pagará unos 0,45 € y el resto después de la celebración de la junta general.
Inmobiliaria Colonial descuenta 0,18 € el 14 de junio. La fecha de abono es el 18 de junio. Ver Los resultados de Inmobiliaria Colonial en 2017.
La cadena de supermercados DIA ha reducido su dividendo a 0,18 € frente a los 0,21 € pagados el año pasado. Ver Los resultados de DIA en 2017.
Iberdrola ya ha anunciado el dividendo que prevé a cargo del año 2022: 0,40 €. A cargo de 2017 pagará 0,323 €. Ver Los resultados de Iberdrola en 2017.
Inditex pagará 0,165 € como complementario el 31 de octubre. Además abonará 0,21 € de dividendo extraordinario también el 31 de octubre, pago que no recoge la tabla porque esta solo incluye pagos ordinarios. De todos modos, el dividendo extraordinario de Inditex es más recurrente que algunos dividendos ordinarios de otras empresas. Ver Los resultados de Inditex en 2017.
Indra ha anunciado que pagará dividendo en 2018 por primera vez desde 2014. Se espera que anuncie el importe en la Junta General de Accionistas el 28 de junio.
Mediaset pagó el 30 de abril un dividendo ordinario de 0,5029 € y un dividendo extraordinario de 0,10026 €.
Meliá Hotels descontará un dividendo único de 0,1681 € el 7 de julio, un 27,8% más que los 0,1315 € abonados el año pasado.
El pago correspondiente a enero de 2019 de Red Eléctrica se basa en la previsión de la empresa de incrementar su dividendo a cargo de 2018 un 7%. Ver Los resultados de Red Eléctrica en 2017.
Repsol pagará 0,485 € de complementario de 2017 el 10 de julio a los accionistas que soliciten la remuneración en efectivo pero la fecha de descuento es el 18 de junio. Ver El próximo dividendo de Repsol.
A cargo de 2018 espera abonar 0,95 € a través de la modalidad de Dividendo Flexible. Se ha estimado que el dividendo a cuenta a descontar en diciembre de 2018 será de 0,425 €, pero podría ser de 0,40 €, en cuyo caso el complementario de junio de 2019 sería de 0,45 €.
Técnicas Reunidas anunció el 14 de mayo que pagará 14,2 millones de euros como dividendo complementario de 2017 el próximo mes de julio. La cantidad por acción será de unos 0,264 €. El importe exacto dependerá de la autocartera que tenga la compañía en el momento de abonar el dividendo.
Telefónica ha anunciado que abonará 0,2 € en junio de 2018, en diciembre de 2018 y en junio de 2019. Ver Los resultados de Telefónica en 2017.
Muchas gracias por la información. Es de mucha utilidad.
Saludos, Antonio
Gracias por la información. Muy útil para formar una cartera orientada al cobro de dividendos.
Hola Josep, eso espero. Un saludo
Hola, muchas gracias por el curro que supone elaborar esta información. Tengo una duda, comentas que Arcelor repartió 0,0715… el pasado 16/5/2018, ¿podrías confirmárlo? más que nada porque tengo algunas acciones y aún no he visto nada ingresado…no vaya a ser que alguno se esté llevando mi queso…saludos de antemano.
Hola Victor, la fecha de descuento fue el 16 pero el pago es en junio. Saludos