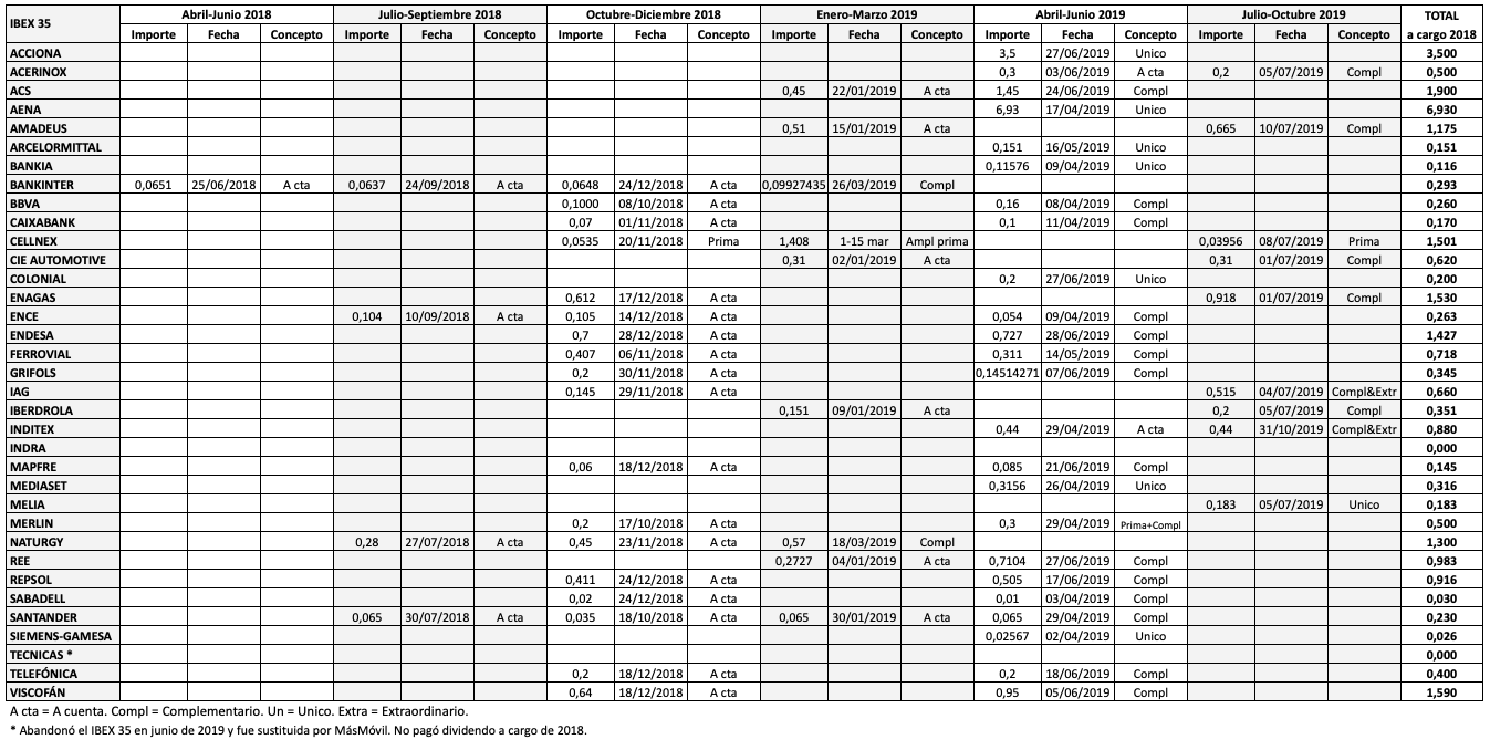
El cuadro siguiente recoge los dividendos a cargo del ejercicio 2018 de las compañías del IBEX 35. Se aprecia que el período de pago se extiende desde el 25 de junio de 2018 (primer dividendo a cuenta de Bankinter) hasta el 31 de octubre de 2019 (complementario y extraordinario de Inditex).
Las fechas indicadas son las de descuento, no las de pago. Ver Cuándo hay que tener las acciones para poder cobrar el dividendo.
Clicar sobre la imagen (o tocarla en tablets y móviles) para ampliarla.

Los dividendos a cargo de 2017: importes, fechas y conceptos
Los dividendos a cargo de 2016: importes, fechas y conceptos
La tabla siguiente compara los dividendos ordinarios a cargo de 2017 y 2018 de las mismas compañías. Vemos que los mayores incrementos se dieron en ArcelorMittal (aunque partía de niveles muy bajos en relación al precio de la acción), Ence, ACS, Naturgy, Inditex y Acciona.
En el caso de Inditex se han tenido en cuenta los pagos extraordinarios porque estos vienen realizándose desde hace por lo menos tres años.





