Hay una página más actualizada sobre este tema:
Dividendos del IBEX 35 previstos en 2019
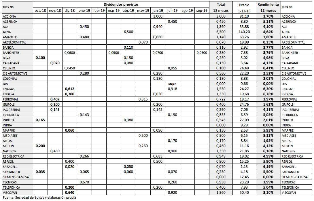
El cuadro siguiente recoge los dividendos ordinarios previstos para los próximos meses hasta septiembre de 2019 según la Sociedad de Bolsas, salvo en el caso de las empresas que se indican a continuación, para las que me he basado en las previsiones de las propias compañías. Los datos de la Sociedad de Bolsas se basan mayoritariamente en los pagos realizados en los últimos doce meses.
Para DIA se preveía un dividendo de 0,18 € en julio de 2019, igual al de julio de 2018, pero la empresa acaba de suprimirlo.
En el caso de Enagás, la Sociedad de Bolsas prevé 0,88 € en julio de 2019, el mismo que en julio de 2018. He estimado 0,918 € respectivamente, en base a la previsión de Enagás de pagar un dividendo a cargo de 2018 de 1,53 €, tras abonar 0,612 € en diciembre de 2018.
Para Naturgy, la Sociedad de Bolsas prevé un dividendo de 1,40 € en los próximos doce meses. He indicado 1,35 €, que es la previsión de la antigua Gas Natural. La compañía prevé incrementar la remuneración al accionista un 5% anual, de forma que el dvidendo a cargo de 2022 (a repartir en 2023) será de 1,59 €.
Los dividendos previstos por la Sociedad de Bolsas para Red Eléctrica (0,25 € en enero de 2019 y 0,66 € en junio de 2019) también son los mismos que los de los últimos doce meses. He indicado 0,266 € y 0,683 € en base a las previsiones de la propia compañía y a la pauta habitual de distribución.
Ver Beneficios y dividendos esperados para Enagás y Red Eléctrica en 2018-2019
En Repsol la previsión de la Sociedad de Bolsas es de 0,89 € para los próximos meses. He indicado 0,90 € en base a la previsión de la petrolera.
Ver Los dividendos futuros de Repsol hasta 2020

Creo que hay un error con el dividendo de Iberdrola.
Tienes toda la razón, David. Muchas gracias por avisar.
Saludos
Hola Carlos, enhorabuena por la página. Muy bien trabajado y muy útil. Gracias por el cuadro. Me ha servido mucho
Gracias por tu comentario, Francisco.
Un saludo
Muchas gracias por mantener la tabla actualizada. Muy útil
Un saludo, Antonio
Acerinox ha anunciado incrementará el dividendo de julio 19 a 0,50 euros.
No lo sabía, Jesús. Muchas gracias por la información. Saludos y feliz final de año.
Muchas gracias por tu esfuerzo. Nos sirve a todos. Saludos y feliz año.
Un saludo, Mercedes, y feliz año también para ti.
Hola. El BBVA en un comunicado a la CNMV tiene previsto aprobar un dividendo de 0,16€ para el 10 de abril.
Haz clic para acceder a 11022019DividendoComplementario2018Calendario_esp.pdf
Saludos
Buenos días Francisco
Hay una página actualizada con los dividendos aprobados y previstos para 2019. https://invesgrama.com/ibex-35/dividendos-ibex/11767-2/
Saludos cordiales