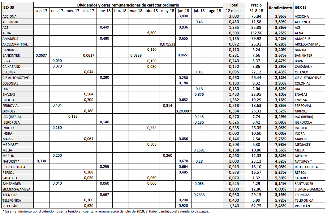
El cuadro siguiente indica los dividendos ordinarios pagados por las cotizadas del IBEX 35 en los últimos doce meses. El rendimiento por dividendo que aparece en la penúltima columna ha sido calculado en base al total pagado en ese período y el precio de cierre de agosto de 2018. En el caso de Naturgy, en el cálculo del rendimiento no se ha tenido en cuenta la remuneración de julio de 2018 debido al cambio en el calendario de pagos de la empresa.
Además, en los últimos doce meses se han pagado diversos dividendos extraordinarios: Inditex 0,18 € en octubre de 2017, Viscofán 0,13 € en marzo de 2018, Mediaset 0,10026 € en abril de 2018 y CIE Automotive 3,203 € en acciones en junio de 2018. El dividendo extraordinario de Inditex se viene pagando cada año pero lo he considerado como no recurrente debido a su naturaleza.
La mayoría de estos dividendos son a cargo del ejercicio 2017. Dos compañías, Naturgy y Banco Santander, ya han empezado a abonar pagos a cuenta de 2018 en julio de este año: Naturgy 0,28 € y Banco Santander 0,065 €.
El rendimiento ordinario medio de los 35 valores era del 3,75% al cierre del 31 de agosto. El rendimiento mediano (el del valor que ocupa la posición 18 en el siguiente ranking, que es ACS) era del 3,86%.
El rendimiento medio de los primeros valores de la tabla es del 6,24%. Pero la creciente incertidumbre acerca de los resultados y dividendos futuros de DIA convierte a este valor en una opción de alto riesgo. Si excluimos a DIA, el rendimiento medio de los diez primeros valores (de Mediaset a Red Eléctrica), es del 5,87%. Si estas compañías incrementan de media su remuneración un 5% en los próximos doce meses, una cartera compuesta por esos valores rentaría un 6,16%, que es justo un 5% después de una retención fiscal del 19%.



Esta muy bien ,vos les pido a mis empresas un 4%neto
Saludos