En el mes de enero los valores con alto rendimiento por dividendo lo hicieron peor que la media del mercado debido a la caída de las energéticas. Por qué cae Enagás.
La cartera Dividendo IBEX 35 ganó un 0,82% mientras que la referencia, la rentabilidad media de los 35 valores del IBEX, fue del 3,57%. El IBEX 35 con dividendos se revalorizó un 4,50% por el buen comportamiento de los bancos.
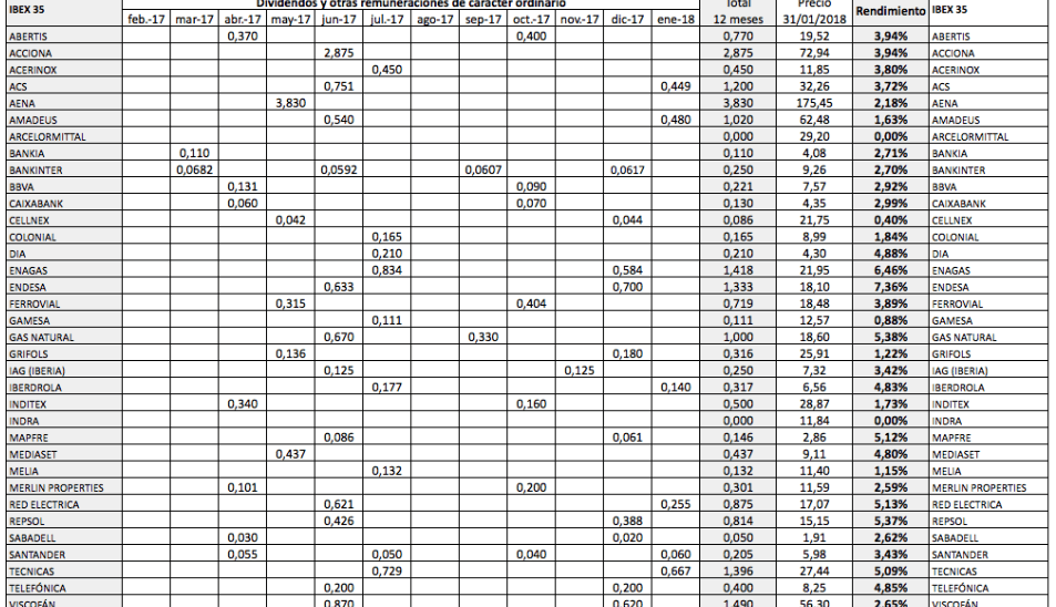
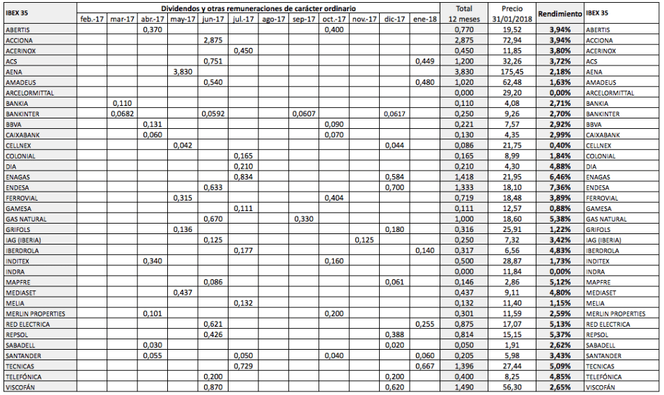
La tabla siguiente recoge los dividendos ordinarios pagados por las compañías del IBEX 35 a lo largo de los últimos doce meses, así como el rendimiento por dividendo calculado como el dividendo ordinario total de los últimos doce meses en relación al precio de cierre del mes de enero.
La siguiente tabla ofrece la misma información para los integrantes del IBEX Medium Cap.
Finalmente, he ordenado los valores de ambos índices en el ranking siguiente. Los encuadrados en azul son los componentes del IBEX 35 y los encuadrados en amarillo, los del IBEX Medium Cap.



Un comentario sobre “Dividendos de los últimos doce meses de los valores del IBEX 35 y del Medium Cap y su rendimiento el 31-01-2018”