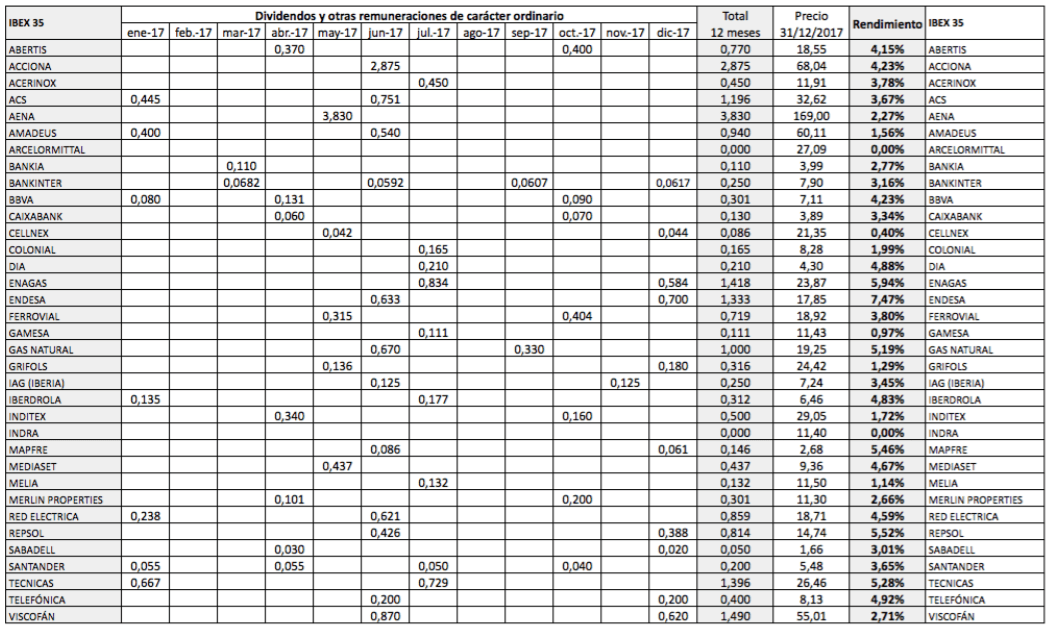
La tabla siguiente indica los dividendos ordinarios pagados por las compañías del IBEX 35 en los últimos doce meses.
Red Eléctrica descuenta hoy (3 de enero de 2018) un dividendo a cuenta de 0,2549 €, un 7% superior al de enero de 2017.
Los valores con mayor rendimiento al cierre del año pasado eran Endesa, con un 7,47%, Enagás con un 5,94% y Repsol con un 5,52%. Un total de 11 valores daban rendimientos superiores al 4,5% bruto, lo que equivale a un 3,65% neto.
